반응형
3x3행렬식과 R^3의 벡터의 외적을 구하는 방식은 동일하다.
determinant outer product
1. 3x3 행렬식

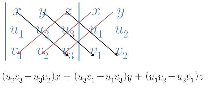
1열, 2열을 오른쪽에 붙여 적는다.
그 다음 검은 대각선 3개의 성분을 곱한 뒤 더하고 빨간 대각선 3개의 성분을 곱한 뒤 더하여 뺀다.

(검은 대각선) - (빨간 대각선)
det(A) = ?
2. 벡터 외적
첫쨰 줄에 x , y , z 를 적고 둘째 줄에 u벡터를, 셋째 줄에 v 벡터를 적어 그 3x3 행렬의 행렬식을 구한다.
(★ 벡터의 외적은 교환법칙이 성립되지 않으므로 적는 순서에 주의한다.)

x = ( 1, 0, 0 ) y = ( 0, 1, 0 ) z = ( 0, 0, 1 ) 을 대입하여 정리한다.

반응형